
○ 폐수처리에서 물리적 처리는 고액분리의 목적으로 비용해성 물질인 수중의 부유 물질과 콜로이드 물질의 제거를 위한 처리 방법이다. 물리적 처리 방법에는 폐수를 유동시키면 서 봉 간격 이상의 크기를 가진 고형물을 거르는 스크린이 있고 폐수의 유동을 정지 또 는 감속시켜서 고형물을 분리시키는 침사지, 침전지, 부상분리조 등이 있다. 물리적 처리 는 대체로 유지비가 적게 드나 효율이 낮은 특징이 있다
1. 스크린
○ 스크린은 폐수 중의 부유협잡물을 제거하여 펌프 및 기계류를 보호하고 관로의 폐쇄를 방지하며 후처리공정의 부하를 경감하기 위한 목적으로 설치된다.
○ 스크린 찌꺼기는 일반적으로 종이조각, 비닐, 플라스틱, 일회용 쓰레기, 나무토막이 대부 분이다. 처분방법은 물기를 없앤 뒤 바로 매립하거나 소각 후 매립하는 것이 보편적이 다. 스크린 찌꺼기를 방치하면 악취가 발생하기 때문에 주의할 필요가 있다.

[그림 1] 실제 스크린의 모습
[출처] 이학성, 폐수처리공학 강의자료, 울산대학교 OCW, 2009
1) 스크린의 분류, 통과 유속, 설치각도
○ 형상에 따른 분류는 막대스크린, 격자스크린, 망스크린으로 분류되고 봉의 간격에 따라 조대스크린(6-150mm), 미세스크린(6mm이하), 마이크로스크린 또는 초미세스크린(0.5mm 이하)로 나누어진다.
○ 스크린을 통과하는 폐수의 통과유속은 유속이 너무 느릴 경우 퇴적물이 발생하고 막힘 환경설비 시스템 기술정보집 2 현상이 일어날 수 있어 최소 0.45m/s 이상을 유지하고 유속이 너무 빠를 경우 수두손실 과 스크린의 손상과 같은 문제가 생길 수 있어서 최대 0.9m/s를 유지한다.
○ 설치각도는 기계식의 경우 70˚ 전후, 인력식의 경우 45~60˚ 정도로 설치하는데 최근에는 대부분 기계식 스크린을 사용한다.
2) 손실수두
○ 유체가 흐르면서 발생한 에너지 손실을 높이로 환산한 것을 손실수두 또는 수두손실이 라 한다. 대부분의 손실은 마찰에 의한 마찰손실수두이고 나머지 굴곡손실, 유출입손실, 확대관 손실, 축소관 손실 등은 미소손실에 해당한다. 모든 수두손실은 속도수두에 비례 한다.
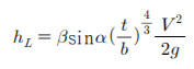
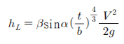
가. Kirschmer의 손실수두 공식


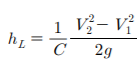
나. 접근유속과 통과유속의 속도 차에 의한 손실수두 공식


2. 침사지
○ 폐수 내에 존재하는 자갈, 모래, 금속류, 기타 무기물 등 펌프의 운전이나 슬러지의 소화 과정을 방해하고 공정 내 관로를 폐쇄시킬 수 있는 물질을 침전시켜 제거하기 위한 공 정이다. 폐수의 유속을 조절하여 가능한 무기물질만 침전 제거하여야 한다.
○ 주로 스크린 공정 다음, 침전지 앞에 설치되며 폐수와 우수를 구분하지 않고 함께 처리 하는 경우에 더욱 필요한 공정이다.
○ 침전대상물질은 비중이 2.65이상, 입경 0.2mm 이상의 물질이다.
○ 바닥에 침강된 사석은 주로 매립에 의하여 처리한다.

[그림 2] 침사지의 모습
[출처] 이학성, 폐수처리공학 강의자료, 울산대학교 OCW, 2009
1) 침사지의 설계
○ 유속은 0.3m/s 정도로 일정한 유속을 유지하도록 설계한다. 유속이 너무 느릴 경우 미세 한 유기물까지 침전되며, 유속이 너무 빠를 경우 침전된 토사가 부상하게 되는 문제가 있다.
○ 체류시간은 30~60초 정도의 범위로 설계한다. 이 때 침강시간이 유체의 통과시간보다 작아서 완전제거가 가능하도록 설계하여야 한다.
○ 침사지의 경사는 1/100~1/50 정도로 한다.
2) 침사지의 종류
가. 수평류 장방형 침사지
○ 가장 오래된 형태로서 직사각형과 정사각형의 구조가 있으며 수평유로형 침사지이다.
○ 합류식에서는 맑을 때와 비가 올 때를 나누어서 오수전용과 우수전용으로 구분하여 설 치하여야 한다.
나. 폭기식 침사지
○ 나선형의 흐름을 가진 폭기조로 구성되있고 바닥에는 hopper가 있는 침사지이다.
○ 침사지에서의 체류시간을 약 3분정도로 해야하며 바닥중앙에 고형물을 펌프로 퍼올릴 때, 산기관으로 포기를 실시하여 유기성 입자물질은 다시 부유시키고 밀도가 큰 무기성 물질들만을 제거하도록 설계한다.
○ 호시성상태를 유지할 수 있어 유기물이 혐기성에 의한 부패로 발생하는 악취를 막을 수 있다는 장점이 있다.
3) 소류속도
○ 소류속도란 바닥에 침전된 침전물들이 유체에 의하여 씻겨나가는 유속의 크기를 말한다.
○ 소류속도, 관류속도, 일류속도 모두 같은 의미로 사용된다.
○ 수평방향으로의 이동으로 고형물이 씻겨 나가지 않도록 소류속도에 유의해야한다. 적당 한 소류속도는 0.225m/sec 정도이다.
가. 소류속도 공식

3. 유량조정조(유량균등조)
○ 폐수의 유량이 및 농도의 변화가 심할 때 설치하는 탱크이다. 여러 공정에서 배출되는 폐수를 모아 기계적 혼합을 하여 농도를 균등화하여 후속설비에 부하를 일정하게 공급 하고 예비폭기를 하며 pH를 조절한다.
○ 저류탱크, 유량조절펌프, 예비폭기 설비로 구성되어 있다.
○ 조는 수밀한 철근콘크리트조로서 유효수심은 3~5m를 표준으로 한다.
○ 조 내에 침전물의 발생을 방지하기 위해 교반장치를 설치한다.

[그림 3] 유량조정조 역할의 예
4. 침전지
○ 침전은 부유물 중에서 중력에 의해서 제거될 수 있는 침전성 고형물을 제거하는 것으로 써 정화 또는 농축이라고도 하며 주로 화학적 처리나 생물학적 처리과정 전에 폐수 내 의 부유물질을 제거하는데 사용된다.

[그림 4] 침전지의 모습
[출처] 이학성, 폐수처리공학 강의자료, 울산대학교 OCW, 2009
1) 침전형태

[그림 5] 부유물의 성질과 농도에 따른 침전형태 분류
[출처] 이학성, 폐수처리공학 강의자료, 울산대학교 OCW, 2009
가. Ⅰ형침전 : 독립침전
○ 응결되지 않은 독립인자의 침전으로 침사지의 모래 입자의 침전 등이 통상 이 경우에 속하며 침강속도는 스토크 법칙이 적용되는 침전의 형태이다.
나. Ⅱ형침전 : 응결침전
○ 현탁고형물이 침전하면서 응결과 병합을 일으켜 floc을 형성하여 침전속도가 증가하게 된다.
다. Ⅲ형침전 : 지역침전 또는 방해침전
○ 침전입자가 서로 방해를 받아 침강속도가 감소하게 된다. 침전하는 부유물과 상등액의 경계면이 뚜렷해지는 곳이다
라. Ⅳ형침전 : 압축침전
○ 침전하는 입자들의 무게로 인해 수분이 용출되며 점점 압축되는 침전의 형태이다.
2) 침전지 설계기준
가. 일차 침전지
○ 형상은 원형, 직사각형(장방형), 정사각형(정방형)으로 한다.
○ 직사각형 침전지의 경우 폭과 길이의 비가 1:3~5 정도, 폭과 깊이의 비는 1~2.25:1 정도 로 하고 원형 및 정사각형의 경우 폭과 깊이의 비를 6~12:1 정도로 한다.
○ 원형 침전지의 최대 직경은 60m이며 수심은 2.5~4m로 한다.
○ 침전지 수면의 여유고는 40~60cm로 한다.
나. 이차 침전지
○ 최종침전지인 이차 침전지의 수심은 2.5~4m로 하며 체류시간은 2~5시간으로 한다.
○ 고형물 부하율은 95~145kg/ 이여야 한다.
3) 침전지 이론 및 관계식
○ 침전지에서는 유속이 극히 작아 stokes의 침강속도 공식이 적용된다.
○ 입자의 침강속도는 입자와 액체와의 밀도 차와 입자경의 제곱에 비례하고 점성계수에 반비례한다.
○ 침전효율은 침전지의 깊이에는 관계없고 표면적과 입자의 침강속도에 의해 좌우된다.
가. stokes 침강속도 공식

나. 침전효율공식

5. 부상분리조
○ 폐수 내에 존재하는 물보다 가벼운 유지류, 부유고형물 등의 표면에 작은 공기방울을 부 착시켜 겉보기 비중을 물보다 작게 하여 수면 위로 부상시켜 분리 제거하는 공정이다.
○ 침전법에서의 가라앉히는 방법 대신에 공기의 부력을 이용하여 침강속도가 매우 느린 가벼운 입자를 부상시키는 방법이다. 입자의 부상속도에도 stoke의 부상속도공식을 이용 한다.

○ 부상방법에는 공기부상법, 용존공기부상법, 진공부상법 등이 있다
○ 공기와 고형물의 비, 공기의 용해도, 반송률, 운전시의 압력, 고형물의 농도등을 고려해 설계해야한다.
1) 부상분리의 분류
가. 공기부상
○ 작은 공기방울을 용액에 있는 주입 입자의 표면에 부착시켜 발생하는 부력으로 부상시 키는 방법이다.
○ 거품을 형성하거나 고농도의 폐수에 효과적이라는 장점이 있다.
○ 분리효율은 높지않다는 것이 단점이다.
나. 용존공기부상
○ 높은 기압 하에서 다량의 공기를 용해시키고 이 용액을 대기압에 다시 노출시켜 미세화 된 공기방울에 의한 상승효과를 이용하는 방법이다.
○ 운전에 용이성이 좋아 실무에 가장 많이 이용하는 방식이다. 환경설비 시스템 기술정보집 9
다. 진공부상
○ 폐수에 공기를 주입하거나 폐수의 석션측에 공기를 유입시키고 이 용액을 진공상태에 노출시켜 발생하는 기포에 의해서 부상분리하는 방법이다.
○ 대형의 공정을 만들기가 어렵고 부상분리된 거품제거도 어렵다는 단점이 있다.
6. 여과
○ 폐수를 공극이 있는 다공질여재(모래, 무연탄, 규조토, 섬유 등)에 통과시켜 부유물, 특히 침전에서 제거되지 않은 미세한 입자를 제거하는 공정이다.
○ 여과는 중력, 압력, 진공, 원심력을 이용하여 이루어진다.
○ 여과에 의한 고형물의 제거메커니즘의 원리는 거름작용, 충돌, 침전, 차단, 부착, 화학적 흡착과 상호응집등이다.
○ 크게 완속여과와 급속여과로 나뉘어진다.
1) 유효경과 균등계수
○ 유효경은 체 분별을 통해 총중량의 10%의 통과율을 보일 때의 체하 입경을 말한다.
○ 유효경이 작을수록 고형물이나 부유물의 여과효과가 크지만 쉽게 막힐 수 있다는 단점 이 있다.
○ 균등계수란 총중량의 60%를 통과시킨 체눈의 크기를 10%를 통과시킨 체눈의 크기(유효 경)로 나눈 값을 말한다.
○ 균등계수는 1보다 크거나 같은데 1에 가까울수록 양호하다고 보며 1에서 멀어질수록 불량하다고 본다.
2) 완속여과와 급속여과
○ 여과는 크게 여과속도에 따라 완속여과와 급속여과로 분류된다.
○ 여과속도란 여과수량을 여과면적으로 나눈 값이며 단위는 m/hr 이다.
<표 1> 완속여과와 급속여과의 비교

[그림 6] 대표적인 급속여과지의 단면
[출처] 이학성, 폐수처리공학 강의자료, 울산대학교 OCW, 2009
3) 손실수두

7. 흡착
○ 흡착은 피흡착물이 흡착제에 물리, 화학적으로 붙는 현상이다. 흡착 공정은 흡착제로 충 전된 통수탑에 물을 통과시켜 피흡착물을 제거하는 공정이다. 정수나 폐수의 생물학적 처리를 방해하는 약품폐기물, 생물학적 분해가 불가능한 화학물질, 미량의 독성물질 등 의 제거에 많이 사용된다.
- 피흡착물 : 용액 중의 분자가 물리, 화학적 결합력에 의해서 고체 표면에 달라 붙는 물질로 냄새, 맛, 잔류소독제, 난분해성 유기물, 중금속 등을 말한다.
- 흡착제 : 흡착할 수 있도록 표면을 제공하는 물질로 활성탄이 대표적이다.
- 물리적 흡착 : 주로 Van der Waals 힘에 의하여 가역적으로 발생하는 흡착으로 용질- 흡착제 간의 분자인력이 용질-용매 간의 인력보다 클 때 흡착이 발생한다. 활성탄에 의 한 흡착이 물리적 흡착의 대표적인 예이다.
- 화학적 흡착 : 흡착제-용질 사이의 화학반응에 의한 흡착이다. 화학반응은 비가역적으로 하수처리에서는 매우 미약하므로 고려하지 않는다.
1) 흡착의 원리, 과정
○ 흡착과정은 다음의 3단계를 거쳐서 일어난다.
➀ 흡착제 주의의 막을 통하여 피흡착제가 확산하는 단계
➁ 흡착제의 공극을 통하여 피흡착제가 확산하는 단계
➂ 흡착제 활성표면에 피흡착제의 분자가 흡착되면서 피흡착제와 흡착제 사이에 결합이 이루어지는 단계
2) 활성탄
○ 흡착제로 가장 많이 사용되는 활성탄은 정수장에서는 맛, 냄새, 기타 유독성 유기물을 제거하기 위해 사용되며 폐수처리장에서는 주로 생물학적 처리를 한 처리수 내의 미처 리 유기물을 좀 더 철저히 제거하기 위한 목적으로 사용된다.
환경설비 시스템 기술정보집 12 분말활성탄(PAC) 입상활성탄(GAC) 설비가 간단하다. 부대설비가 많다. 슬러지 발생이 많다. 슬러지 발생이 없다. 재생되지 않는다. 재생하여 사용할 수 있으므로 경제적이다. 겨울철 누출이 발생한다. 누출이 없다.
<표 2> 분말활성탄과 입상활성탄의 비교

○ 생물활성탄(BAC) : 입상활성탄의 일종으로 다공질에 미생물이 서식하여 흡착과 동시에 생분해 하여 운전시간을 대폭 연장시킨다는 장점이 있으나 정상운전까지 소요시간이 길 다는 단점이 있다.
3) 등온흡착식
가. Freundlich 공식

나. Langmuir 공식

4) 파과점과 파과곡선
○ 고정된 흡착제에 원수를 통과시켜 흡착질을 흡착시키면 통수초기에는 맑은 처리수를 얻 을 수 있으나 시간이 경과함에 따라 처리수 중 피흡착물질의 농도가 증가하여 허용치에 달하게 되는데 이를 파과점 이라고 한다.
○ 파과점을 초과하여 통수를 계속하면 처리수 중 피흡착물질의 농도가 급속히 증가한다. 처리수의 피흡착물 농도가 원수의 농도와 같아지게 될 때를 종말점이라고 한다.
○ 파과 시간에 따른 농도변화를 나타낸 곡선을 파과곡선이라 한다.

[그림 7] 파과곡선의 예
[출처] 이학성, 폐수처리공학 강의자료, 울산대학교 OCW, 2009
참고문헌
1. 이학성, 폐수처리공학 강의자료, 울산대학교 OCW, 2009
EG-TIPS 에너지온실가스 종합정보 플랫폼
입자상 대기오염물질을 제거하기 위해 집진장치가 필요함. 집진의 원리는 기체가 어떤 힘(중력, 원심력, 정전기력 등)이 작용하고 있는 장치 내에 유입되어 분진입자가 이들 힘의 영향을 받아
tips.energy.or.kr
2021.05.18 - [IT 인터넷] - PDF 병합, 여러개의 PDF 파일을 하나의 문서로 PDF 파일 결합
PDF 병합, 여러개의 PDF 파일을 하나의 문서로 PDF 파일 결합
PDF 파일을 다룰때 많이 쓰이는 기능이면서도 급할때 컴퓨터에 PDF 프로그램이 없다면 참 난감합니다. 그래서인지 그럴때 급히 간단히 빠르게 활용할 수 있는 온라인 웹툴이 상당히 많이 생겨난
violetme2.tistory.com
2021.05.17 - [IT 인터넷] - PDF 압축, 무료로 PDF 파일 크기 줄이기
PDF 압축, 무료로 PDF 파일 크기 줄이기
PDF 파일을 편집하고 메일로 주고받고, 또 어딘가에 스캔을 하여 첨부할때 우리는 벽을 만나곤합니다. 파일 용량 제한으로 인해 첨부가 안되면 참 많이 난감한 상황이 다가오는데요. 이럴때 유용
violetme2.tistory.com
2021.03.27 - [IT 인터넷] - 파일 관리자(File Manager Plus), 기본에 충실한 무료 파일 탐색기
파일 관리자(File Manager Plus), 기본에 충실한 무료 파일 탐색기
파일 관리자(파일 매니저+)는 안드로이드 기기를 위한 쉽고 강력한 파일 탐색기이며, 무료로 사용할 수 있고 빠르고 완벽한 기능을 갖추고 있습니다. 간결한 UI 사용자 인터페이스 덕분에 사용하
violetme2.tistory.com
2021.04.15 - [생활정보] - 코로나19 예방접종센터, 백신 접종 계획
코로나19 예방접종센터, 백신 접종 계획
1. 예방접종센터 코로나19 충청남도 서산시 예방접종센터 서산 갈산동상세주소 열기 코로나19 충청남도 아산시 예방접종센터 아산 풍기동상세주소 열기 충남천안 코로나19예방접종센터 천안
violetme2.tistory.com
2021.06.03 - [기타정보] - 대기환경설비 시스템의 개요, 환경설비 시스템
대기환경설비 시스템의 개요, 환경설비 시스템
제1절 대기환경오염의 정의 ○ 세계보건기구(WHO)에서는 대기오염을 “대기 중에 인위적으로 배출된 오염물질이 한 가 지 또는 그 이상 존재하여 오염물질의 양, 농도 및 지속시간이 어떤 지역
violetme2.tistory.com
'기타 > 환경정보' 카테고리의 다른 글
| 슬러지 처리, 수질오염 방지기술 (0) | 2021.06.29 |
|---|---|
| 생물학적 처리, 수질오염 방지기술 (0) | 2021.06.17 |
| 화학적 처리, 수질오염 방지기술 (0) | 2021.06.10 |
| 대기환경설비 시스템의 개요, 환경설비 시스템 (0) | 2021.06.03 |
| 수질환경설비 시스템의 개요, 환경설비 시스템 (0) | 2021.06.02 |
댓글